문제
https://www.acmicpc.net/problem/2775
2775번: 부녀회장이 될테야
첫 번째 줄에 Test case의 수 T가 주어진다. 그리고 각각의 케이스마다 입력으로 첫 번째 줄에 정수 k, 두 번째 줄에 정수 n이 주어진다
www.acmicpc.net
소스코드
#include <iostream>
#include <algorithm>
#include <string>
#include <math.h>
#include <vector>
using namespace std;
int arr[15][15];
int main() {
ios_base::sync_with_stdio(false), cin.tie(NULL);
int T;
cin >> T;
for (int i = 0; i < 15; i++) {
for (int j = 0; j < 15; j++) {
if (i == 0 || j == 0) {
arr[i][j] = j+1;
}
else {
arr[i][j] = arr[i - 1][j] + arr[i][j - 1];
}
}
}
while (T--) {
int k, n;
cin >> k >> n;
cout << arr[k][n-1]<<"\n";
}
}
해설
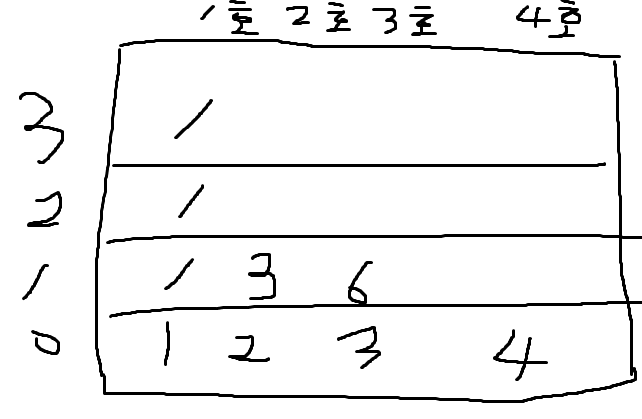
a층의 b호에 살려면 자신의 아래(a-1)층의 1호부터 b호까지 사람들의 수의 합만큼 사람들을 데려와 살아야 한다
이 조건을 자세히 살펴본다.

1층의 3호에 살기위해서는 0층의 1호+2호+3호의 사람들의 수를 합쳐줘야한다.
결국 이렇게 그리면서 패턴을 파악해보면

이렇게 된다는 것을 알 수 있으니, 점화식을 작성해서 배열에 넣어주면된다.
'Algorithm > math' 카테고리의 다른 글
| [백준] 알고리즘 C++ 4153번 - 직각삼각형문제 (0) | 2021.11.04 |
|---|---|
| [백준] 알고리즘 C++ 2869번 - 달팽이는 올라가고 싶다문제 (0) | 2021.11.04 |
| [백준] 알고리즘 C++ 1085번 - 직사각형에서 탈출 (0) | 2021.09.30 |
| [백준] C++ 알고리즘 17425번 - 약수의 합 (0) | 2021.05.27 |
| [백준] C++ 알고리즘 17427번 - 약수의 합 2 문제 (0) | 2021.05.25 |
